Омбудсман критикує уряд через неякісне виконання стратегії щодо внутрішнього переміщення

Дата: 06 Травня 2025
A+ A- Підписатися

Уповноважений Верховної Ради з прав людини виявив неналежне виконання урядової стратегії щодо внутрішньо переміщених осіб: з дев’яти передбачених нормативно-правових документів ухвалено лише три, а показники для оцінювання виконання заходів відсутні. 

Про це заявив Уповноважений Дмитро Лубінець у Щорічній доповіді про стан додержання та захисту прав і свобод людини і громадянина в Україні у 2024 році. 

Матір з донькою під час очікування на автобусній зупинці в м. Слов’янськ Донецької області

Омбудсман зазначає, що ВПО залишались однією з найуразливіших категорій осіб з-поміж постраждалих унаслідок збройної агресії проти України, які протягом 2024 року зверталися до нього по захист порушених прав. 

Уповноважений констатував неналежне виконання Стратегії державної політики щодо внутрішнього переміщення і та необхідність її оновлення. Омбудсман наголосив, що результатом реалізації стратегії має стати підвищення якості життя ВПО через, зокрема:

  • посилення їхніх спроможностей;
  • соціальної стійкості;
  • стимулювання економічної активності;
  • забезпечення реалізації їхніх прав та основоположних свобод;
  • забезпечення добровільного, гідного й безпечного повернення на покинуте місце проживання.

Офіс Омбудсмана проаналізував виконання протягом квітня 2023 – квітня 2024 року завдань і 87 заходів операційного плану. Він виявив, що на центральному рівні з дев’яти нормативноправових документів, розроблення яких передбачено в операційному плані та які, як передбачається, мають розв’язати коло загальних та індивідуальних питань, пов’язаних із внутрішнім переміщенням, ухвалено лише три. Багато заходів передбачають проведення багатьма виконавцями, однак не передбачають якісних і кількісних показників для оцінювання їхнього виконання кожним з виконавців.

Омбудсман вважає, що існує потреба не лише актуалізувати строки виконання окремих завдань та заходів операційного плану з реалізації стратегії, а й їхнього змісту на виконання поставлених цілей та очікуваних результатів їхнього виконання із зазначенням конкретних якісних і кількісних показників.

Саме тому він рекомендує Мінрозвитку розробити та внести на розгляд уряду проєкт акта про внесення змін до операційного плану, передбачивши встановлення чітких якісних і кількісних показників очікуваних результатів, актуалізацію заходів, що є невиконаними або потребують постійного виконання та доповнення заходами, реалізація яких є необхідною з урахуванням поточних умов і викликів, спричинених збройною агресією РФ.

Читайте також: Як Мінрозвитку покращити роботу з внутрішньо переміщеними особами

Уповноважений назвав позитивним зрушенням затвердження окремими обласними військовими адміністраціями комплексних регіональних програм підтримки ВПО. Ці програми охоплюють усі або майже всі питання, пов’язані з адаптацією ВПО на новому місці проживання. 

У своїй доповіді Омбудсман розкритикував уряд за реорганізацію Мінреінтеграції і констатував, що це погіршило захист постраждалих від війни. 

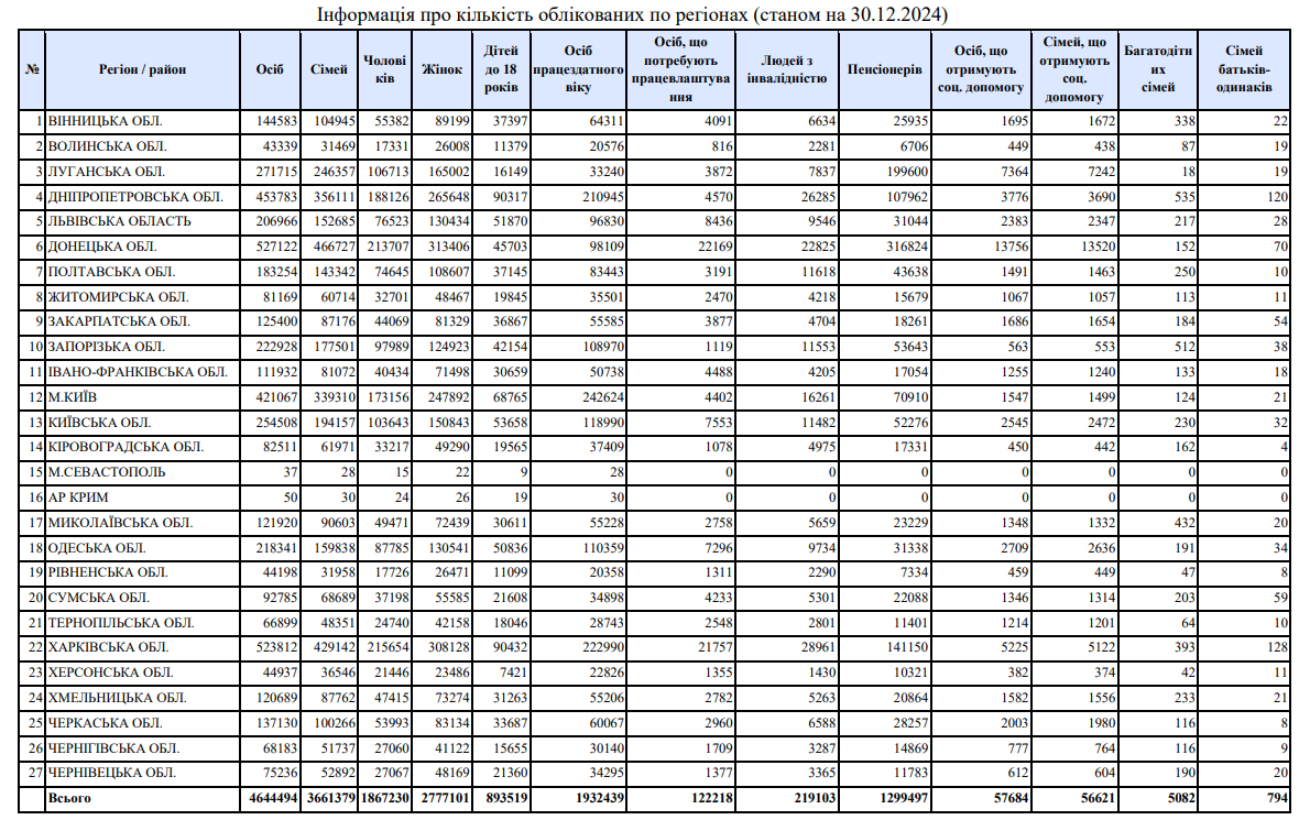
Станом на 30 грудня 2024 року в Україні налічувалося 4 644 494 ВПО, з них 893 519 дітей, 1 299 497 пенсіонерів та 219 103 особи з інвалідністю.

Розподіл категорій ВПО за областями. Дані: Мінсоцполітики

Нагадаємо, у квітні Верховна Рада в першому читанні проголосувала проєкт закону про внесення змін до Закону “Про забезпечення прав і свобод внутрішньо переміщених осіб” та інших законів України № 12301. Законопроєкт має на меті суттєво покращити механізми допомоги ВПО та дозволить їм інтегруватися в громади з чіткими гарантіями від держави, адже чинна, ухвалена ще в жовтні 2014 року редакція закону, як указувала правозахисна спільнота, не відповідає сучасним викликам. 

У квітні уряд змінив порядок оформлення довідки про взяття на облік внутрішньо переміщеної особи.

Напередодні Коаліція організацій, які опікуються питаннями захисту прав постраждалих внаслідок збройної агресії Росії, оприлюднила нову дорожню карту законопроєктів до 13-ї парламентської сесії. У документі правозахисники визначили перелік тих законопроєктів, що важливо ухвалити, а також тих, які не варто ухвалювати без доопрацювання або взагалі краще не ухвалювати, щоб не нашкодити потерпілим від війни громадянам.

Поділитися:
Якщо ви знайшли помилку, виділіть її мишкою та натисніть Ctrl+Enter